오늘 학습 키워드

최종 팀 프로젝트

오늘 학습 한 내용을 나만의 언어로 정리하기

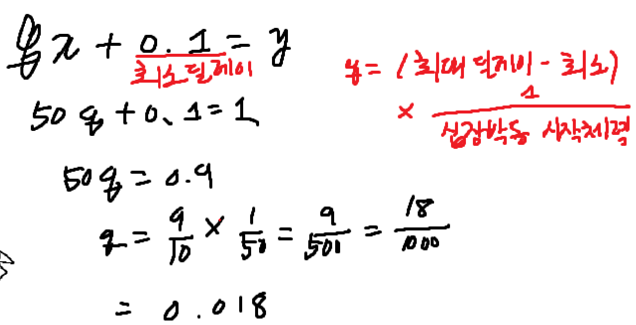
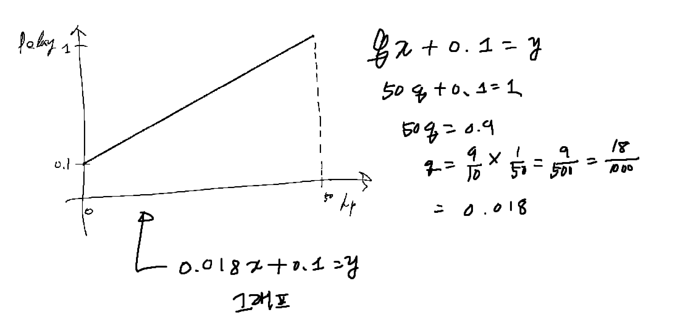
체력이 깎일 수록 심장소리의 딜레이를 줄이기

  • 이런식으로 진행하려고 함

  • 좀 더 수정해서…

  • q = (최대딜레이 - 최소딜레이) * (1 / 심장박동 시작하는 체력)

Projectile이 삭제될 때 특정 Action을 실행하도록 변경

  • 기존 코드는 사라질 때 특정 코드를 실행시킬 수 없었음.
  • 근데 나는 projectile이 삭제될 때 소리를 내야 함
  • 그래서 Action을 인자로 받도록 변경함
public void RequestRelease(float fallbackSeconds = 0.15f, Action callback = null)  
{  
    if (isReleasing) return;  
    OnPrepareRelease();  
    StartCoroutine(ReleaseAfterCurrentState(fallbackSeconds, callback));  
}